Sectie 16
-


01

http://www.iwab.nu/H03_07_007.html
Van een fase-regel lus is het met een + aangegeven onderdeel:

a   de spanningsgeregelde-oscillator
b   de fase-vergelijker
c   de referentie oscillator
d   de programmeerbare deler

a
-


02

http://www.iwab.nu/H03_07_009.html
Van de fase regellus is de met + aangegeven deel :

a   de spanning geregelde oscillator
b   de programmeerbare deler
c   de fase vergelijker
d   het laagfrequent filter

b
-


03

http://www.iwab.nu/H03_07_008.html
Van een fase-regellus is het met een + aangegeven onderdeel de:

a   spannings geregelde oscillator
b   programmeerbare deler
c   fase-vergelijker
d   referentie oscillator

c
-


04

http://www.iwab.nu/H03_07_003.html
Van een fase-regellus is het met een + aangegeven onderdeel:

a   de fasevergelijker
b   de programmeerbare deler
c   de spanning geregelde oscillator
d   de referentie-oscillator

d
-


05

http://www.iwab.nu/H03_07_001.html
Van een fase-regellus is het met een + aangegeven onderdeel:

a   de fase-vergelijker
b   de referentie oscillator
c   de spanninggeregelde oscillator
d   het laagdoorlaatfilter

d
-


06

http://www.iwab.nu/H03_07_002.html
De regellus is in stabiele toestand (gelocked).
Welke bewering is juist?

a   de frequentie op punt A is lager dan op punt B
b   de frequentie op punt A is hoger dan op punt B
c   de frequenties op de punten A en B zijn gelijk
d   de spanning op de punten A en B zijn altijd in fase

c
-


07

http://www.iwab.nu/H03_07_005.html
Het uitgangssignaal kan worden ingesteld op kanalen in een 25 Khz raster.
De frequentie van de referentie oscillator is:




a   145.975 Mhz
b   145 Mhz
c   25 Khz
d   145.025 Mhz

Bij een PLL wordt het kanaalraster (stapgrootte) bepaald door de frequentie van referentiefrequentie
(meestal een kristal) rechts, dus hier 25 kHz
-


08

http://www.iwab.nu/H03_07_006.html
De regellus met fase-vergelijking-schakeling bevindt zich in vergrendelde toestand.[gelocked].
Op punt P staat:

a   een gelijkspanning met langzame variaties
b   een wisselspanning van 30Mhz
c   een constante gelijkspanning
d   een wisselspanning van 1Mhz

a
-


09

http://www.iwab.nu/H3_066.html
De regellus met fasevergelijking is in stabiele toestand (gelocked).
De deler is ingesteld op:

a   500
b   50
c   4900
d   5100

Xtal = 100 Khz
VCO = 5 Mhz

deler = 5exp6 / 100exp3 = 50
Extrta uitleg:

Bij een PLL in gelocked toestand zijn de frequenties op punt A en B gelijk en moet dus punt A ook 100kHz zijn.
Om de frequentie van 5 MHz uit de VCO te kunnen vergelijken met de referentiefrequentie van 100 kHz, moet de deler 5 MHz : 100 kHz = 50 zijn.

-


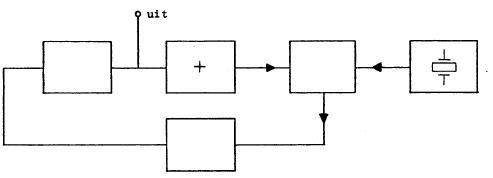
10

http://www.iwab.nu/H03_07_004.html
De PLL wekt een in stappen van 12,5 KHz instelbare gemiddelde frequentie op.
Het uitgangssignaal Uuit., wordt in frequentie gemoduleerd door een audiosignaal.
Het juiste aansluitpunt voor het audiosignaal is:

a   punt 3
b   punt 4
c   punt 1
d   punt 2

c
-


11

http://www.iwab.nu/H3_050.html
De PLL wekt een frequentie op tussen 144 en 146 Mhz
Het uitgangssignaal Uuit wordt gemoduleerd door het microfoonsignaal
De meest geschikte kantelfrequentie van het filter in de regellus is

a   3000 Hz
b   30 Hz
c   146 Mhz
d   12.5 Khz

b